LaTeX templates — Journal articles
Discover a wide range of academic journal LaTeX templates for articles and papers which automatically format your manuscripts in the style required for submission to that journal.
Recent

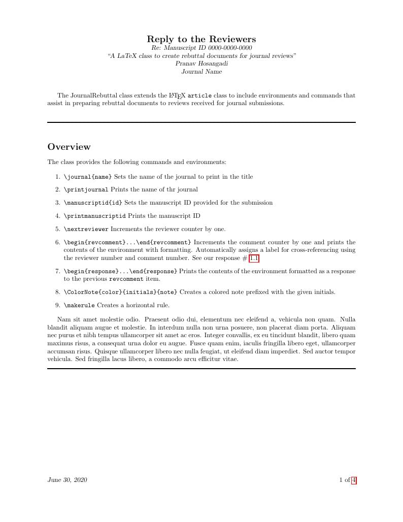
A template for writing rebuttal letters to reviews for journal submissions. Github repository: https://github.com/pranavh/JournalRebuttal_LaTeX/

This is the up-to-date latex template for submissions to the Mass Timber Construction Journal. Any enquiries, please contact rodrigofmourao@gmail.com.

LaTeX template for articles published in Review of Financial Studies. Original source uploaded from https://academic.oup.com/rfs/pages/Instructions_To_Authors.

This template is for authors who are preparing a manuscript for a Taylor & Francis journal using the LaTeX document preparation system and the interact class file and the "P" reference style, which is available via selected journals' home pages on the Taylor & Francis website.

LaTeX template for the EPJ Web of Conferences Journal. You should first read the "Main User's Guide" (webofc-doc.pdf) to get an overview of special instructions concerning the Web of conferences journal. Alternatively to reading the entire documentation, it is also possible to proceed by merely filling out the template and then looking up additional commands as needed. Copyright / Published by: EDP Sciences http://www.edpsciences.org

Template для журнала Ученые записки Казанского университета. Серия Физико-математические науки

This template is for authors who are preparing a manuscript for a Taylor & Francis journal using the LaTeX document preparation system and the interact class file and the Chicago reference style, which is available via selected journals' home pages on the Taylor & Francis website.

Updated JASSS article template for Overleaf using new JASSS house style.

This paper describes the use of the LaTeX2e sagej.cls class file for setting papers to be submitted to a SAGE Publications journal. The template can be downloaded here. v1.2, 14 Jan 2017
\begin
Discover why over 20 million people worldwide trust Overleaf with their work.