overleaf template galleryLaTeX templates — Recent
LaTeX templates for journal articles, academic papers, CVs and résumés, presentations, and more.

Vorlage für einen wissenschaftlichen Bericht im Rahmen des Moduls "Vertiefendes Rechnerpraktikum zur Energietechnik" am Fachgebiet Energietechnik und Umweltschutz der Technischen Universität Berlin. Template for a scientific report used in the course "Vertiefendes Rechnerpraktikum zur Energietechnik" at the Chair of Energy Engineering and Environmental Protection, Berlin Institute of Technology.

This is a complete thesis template which includes almost all the things required to prepare your PhD thesis according to the revised formatting guidelines of APJ Abdul Kalam Technological University (APJAKTU), Thiruvananthapuram, Kerala 695016

Master thesis template University of Hyderabad

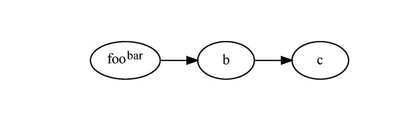
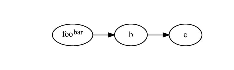
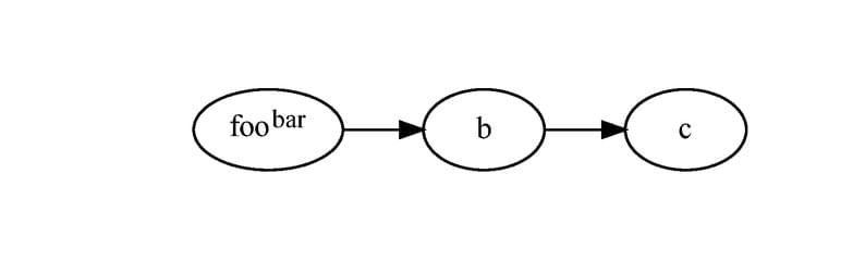
An example of the graphviz package, which uses dot in the background to draw graphs. Add \usepackage[pdf]{graphicx} to get HTML-like labels working.

A simple and stylized curriculum vitae template.

Template for IUCr conference abstracts. For more information, please see IUCR's instructions.

坂東研 (量子情報研究室) の卒論テンプレートです.

This template is used for the usual presentation in school of mathematics, Jilin Univesity. Wish you guys a fantastic presentation. Just fighting for days~

This is a LaTeX template which meets the style guide for the PhD thesis for the University of Newcastle, Australia.
\begin
Discover why over 25 million people worldwide trust Overleaf with their work.