overleaf template galleryLaTeX templates and examples — Recent
Discover LaTeX templates and examples to help with everything from writing a journal article to using a specific LaTeX package.

This is the example provided in the user guide for the dinbrief package. This package implements a document layout for writing letters according to the rules of DIN (Deutsches Institut für Normung, German standardisation institute). Edit: This example now allows you to render umlauts with the typical \"a \"o \"u \ss commands if you're not working using a German keyboards (in addition to allowing ä ö ü and ß directly) - our thanks to Danny Werb for his help in setting this up.

Package Test: arabi for Arabic Text

Example: Theorems and Proofs

Tira laskarit I

Looking elegant and professional, this simple memo template is perfect for communicating either internally within an organization or with outside partners. Using the texMemo package created by Rob Oakes, this template supports all of the standard LaTeX article features in addition to providing some commands specifically designed for a memo or short note. These include commands for the memo recipient (\memoto), sender (\memofrom), Subject (\memosubject), and Date (\memodate). You can also add a logo to your document using the \logo command, and the logo can be an image, text, or any combination of the two. Simply click the button above to create a new memo today, which can be written and shared online directly from Overleaf.

Example: Linear Regression with pgfplots

This popular visualization of the Porter Value Chain is a great example of how LaTeX can be used to produce striking, high quality formatting of simple objects such as tables. Originally posted as this answer on TeX StackExchange, we've pre-loaded the table into Overleaf to let you easily add your own content. Simply click the table to start editing online. Once you're done, you can insert the table into a longer LaTeX document, or download as a PDF for use as a standalone piece. If you're new to LaTeX, checkout the third part of our free online LaTeX course for more hints on creating presentations and drawings in LaTeX.

Rinton Press provides instructions and LaTeX templates for the preparation of articles and contributions to their journals, books and proceedings. We've pre-loaded the template & sample article for their Quantum Information and Computation Journal into writeLaTeX to help you get started - click above to open the template for immediate editing online. You can use writeLaTeX to create and edit your article ready for submission with nothing to install and no sign up required - simply click the image above to create your article. If you're new to LaTeX and would like to find out more, our free online LaTeX course covers all the steps you need to create a complete document with figures, tables and bibliography.

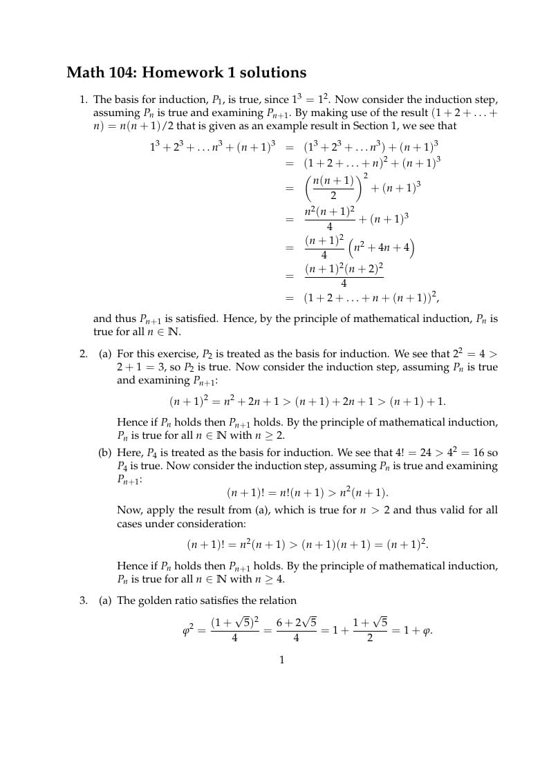
Simple homework template.
\begin
Discover why over 25 million people worldwide trust Overleaf with their work.